外观
刷屏的DeepSeek有多强?无门槛上手
前言
前文《冲击硅谷,DeepSeek崛起全了解》给大家分享了DeepSeek相关的资料和发展历程,本文给大家分享下DeepSeek具体使用体验。
本次分享主要包括3部分:
- 安装:APP和PC两种方式。
- 初试:展示下推理过程。
- 应用:挑选典型应用场景展示效果。
安装
APP方式
DeepSeek前不久才发布官方APP,支持中国大陆手机号码、微信与Apple lD(仅限i0S)一键登录,同一账号内历史对话记录与网页端同步,现有功能也与网页端全面对齐。
支持联网搜索与深度思考模式,同时支持文件上传,能够扫描读取各类文件及图片中的文字内容,随时随地为用户答疑解惑、实现学习办公提效。
操作过程
本机荣耀90。
- 打开应用商场,搜索“DeepSeek”。

- 应用详情页面,确认开发商是“杭州深度求索”,安装即可。

- 直接手机验证码登录,当然直接使用微信登录也可以。

- APP效果如下,非常简洁。

说明:
- 左上角图标:对话历史
- 右上角图标:打开新对话
- 下方4个操作:
- 深度思考:调用R1推理模型
- 联网搜索:直接可以查询互联网数据
- 上传:支持上传文档、图片、拍照
- 发送:发送消息给DeepSeek
PC方式
官网地址:https://www.deepseek.com/
操作过程
- 打开官网

- 开始对话,界面和APP操作习惯一致。

初试
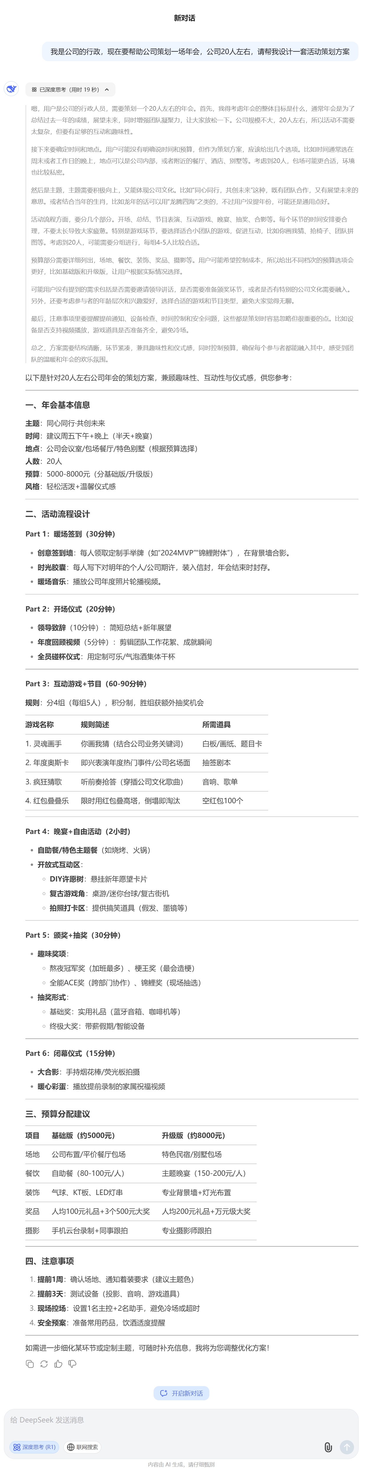
场景
年会活动策划。
提示词
我是公司的行政,现在要帮助公司策划一场年会,公司20人左右,请帮我设计一套活动策划方案
过程
选择了“深度思考”后,DeepSeek的返回结果会带上思考过程。

结果
完整截图见“结果”最后。
个人认为较好的几个点:
- 整体方案规划合理,考虑很全面。
- “一、年会基本信息” 中提供了多种备选方式:
- 地点:公司会议室/包场餐厅/特色别墅(根据预算选择)。
- 预算:5000-8000元(分基础版/升级版)。
- “二、活动流程设计 - Part 1:暖场签到” 中 “2024 MVP” 年份识别正确,很多大模型无法正确识别当前年份。
- “二、活动流程设计 - Part 3:互动游戏+节目” 中连具体游戏都给出了,非常详细。
- “二、活动流程设计 - Part 5:颁奖+抽奖” 部分也很好。
- 熬夜冠军奖(加班最多)、梗王奖(最会造梗)、全能ACE奖(跨部门协作)、锦鲤奖(现场抽选)融入各种流行元素。
- 抽奖设计非常符合员工需要。
- “三、预算分配建议”中各部分费用比较符合20人公司的预算。

应用
为了更好呈现内容,本章节截图采用PC方式。
拍照解数学题
场景
识别图片并指导解题。此处挑选了一个高中奥数题目。
APP可以直接拍照,此处使用PC演示,直接上传的图片。
提示词
上传题目图片

解题
过程
过程比较长,完整截图就不放了。有两点提一下:
- DeepSeek给出的思考过程,我一个高中毕业已经好多年的人还能看懂。
- 解答最后还会进行验证,这个拟人化有点高了。

结果
和题目答案对比了,没错。

仿写鲁迅
场景
通过仿写进行文学创作。
提示词
请仿照鲁迅的文风写一段家乡下雪的文字,300字左右即可。
过程

结果
以我不高的文学素养,感觉迅哥味还是挺浓的。
我推开窗棂时,雪粒子正簌簌地打着檐角的枯草。天是铅灰的,倒像是谁把北平城头的硝烟搅碎了,尽数泼在江南的天穹上。墙根的青砖早叫雪掩得严实,独剩半截石臼突兀地杵着,倒似张着口的兽,要将这白茫茫的天地囫囵吞下。
街角的苍老榆钱树簌簌抖着枝桠,积雪便扑簌簌落在独轮车的辙印里。几个裹着破袄的孩童追着卖炭翁的挑子跑,布鞋底子在雪地上划出歪扭的痕,转眼又被新雪填平了。这雪下得忒凶,倒像是要把二十年间积攒的腌臜事都遮盖了去。可我知道东街王寡妇门前那滩烂泥坑还在,西巷陈老爷家新砌的白墙也还在,不过暂时披了件素袍子。
雪片扑在脸上,倒像是幼年时私塾先生用戒尺拍的碎纸屑。那年雪天偷溜出去看社戏,归家时新棉鞋浸透了雪水,母亲用火钳夹着烧红的炭块在鞋膛里来回晃。青烟混着焦糊味在梁柱间游荡,如今连那老宅子都叫拆了盖洋楼,倒不如这雪来得长久。
忽听得巷口传来窸窣响动,原是瘸腿的老黄头在扫雪。竹帚刮过青石板的声响,倒像是给这寂静的晨奏着支破落的梆子戏。雪仍在下,落在他的驼背上,倒比落在祠堂的琉璃瓦上更显清白些。
总结
整体使用下来,不论是日常工作、多模态、数学处理,还是文学素养,效果都非常不错,尤其是DeepSeek的响应速度在国产大模型中也是非常靠前的,并且,目前全部免费,值得大家一试。
最近好像DeepSeek被攻击有点多,有时候会出现无法响应的情况,大家理解一下。
